Привет всем!
Продаю наборы ЧИП резисторов. Ряд номиналов Е24.
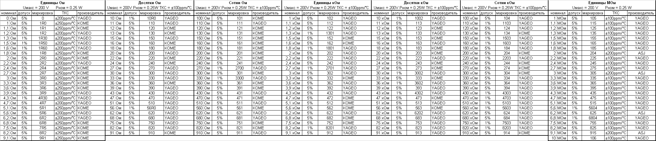
Типоразмер 1206, мощность 0,25 Вт.
Производитель Yageo, Kome, ASJ.
Допуски по номиналу 1% и 5%.
В каждом наборе 24 номинала(Единицы Ом и Единицы МОм 25 номиналов) по 25 шт.
Наборы:
Единицы Ом
Десятки Ом
Сотни Ом
Единицы кОм
Десятки кОм
Сотни кОм
Единицы МОм
Каждый набор в зип-лок пакетике
При заказе любого количества наборов стоимость одного набора 120 руб.
Доставка почтой России по РФ бесплатно.
При заказе одного и более наборов дополнительно к ним можете заказать любые резисторы номиналом от 0 Ом до 10 МОм из ряда Е24 в количестве от 1 шт. Цена одного резистора 0,2 руб.
Можно весь заказ сделать поштучно, но если сумма заказа будет 120 руб. и более.
Объявление актуально пока здесь присутствует.
Обращайтесь: plastinin1.kt361a@yandex.ru с темой: резисторы.
В письме укажите в свободной форме каких наборов сколько штук нужно (и каких номиналов резисторов), адрес доставки и имя адресата.
Для удобства заказа можете воспользоваться файлом . Укажите в нём интересующие Вас позиции и вышлите мне.
В ответном письме вышлю сумму в рублях и номера кошельков WebMoney, QIWI, Яндекс.деньги или номер карты Сбербанка. После оплаты заказ вышлю на следующий день.
Территориально нахожусь в Нижнем Новгороде.
Перед заказом рекомендую ознакомиться с даташитами на резисторы , , .
