Привет всем! 
 Продаю наборы ЧИП резисторов. Ряд номиналов Е24. 
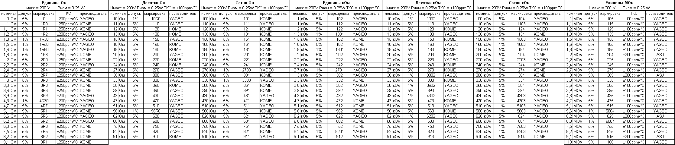
 Типоразмер 1206, мощность 0,25 Вт. 
 Производитель Yageo, Kome, ASJ. 
 Допуски по номиналу 1% и 5%. 
 В каждом наборе 24 номинала(Единицы Ом и Единицы МОм 25 номиналов) по 25 шт. 
 Наборы: 
 Единицы Ом 
 Десятки Ом 
 Сотни Ом 
 Единицы кОм 
 Десятки кОм 
 Сотни кОм 
 Единицы МОм
 Каждый набор в зип-лок пакетике 
 При заказе любого количества наборов стоимость одного набора 120 руб. 
 Доставка почтой России по РФ бесплатно. 
 При заказе одного и более наборов дополнительно к ним можете заказать любые резисторы номиналом от 0 Ом до 10 МОм из ряда Е24 в количестве от 1 шт. Цена одного резистора 0,2 руб. 
 
Можно весь заказ сделать поштучно, но если сумма заказа будет 120 руб. и более.
 Объявление актуально пока здесь присутствует. 
 Обращайтесь: plastinin1.kt361a@yandex.ru с темой: резисторы. 
 В письме укажите в свободной форме каких наборов сколько штук нужно (и каких номиналов резисторов), адрес доставки и имя адресата. 
 Для удобства заказа можете воспользоваться файлом . Укажите в нём интересующие Вас позиции и вышлите мне. 
 В ответном письме вышлю сумму в рублях и номера кошельков WebMoney, QIWI, Яндекс.деньги или номер карты Сбербанка. После оплаты заказ вышлю на следующий день. 
 Территориально нахожусь в Нижнем Новгороде.
Перед заказом рекомендую ознакомиться с даташитами на резисторы , , .
			
		