Vovan писал(а):Ну теперь понятно, значит ИК СД на чертеже лишние...
ну да! эт я пока резюки перебираю, вот и запарился
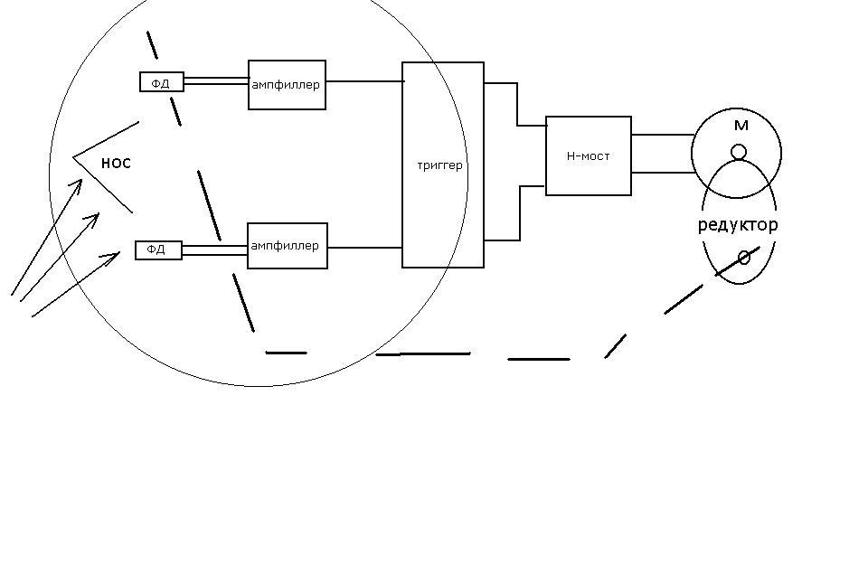
фд точно! но как осуществить? два мотора между ними шестерня, на которой сидит голова?
или один мотор на голову, но тогда фр друг друга не будут ли посылать на х...?
зы: была у мню раньше старая книженка, там такое устройство описывалось. чуть ли не серву там надо собрать(хотя, вроде серва и есть. тож с потенционером было).
Добавлено спустя 6 минут 10 секунд:Все забываю. Хочу сказать огромное спасибо Радисту, за некоторые подсказки по ходу прогресса.
