
Давно я тут не писал постов про принтеры и электронику, но тут назрела тема использования абсолютного энкодера и попытке делать вменяемое упралвение шаговым двигателем с рассчётом на точность позиционирования (не путать с повторяемостью). В качестве подопытного было приобретено несколько разных магнитных энкодеров наподобие тех, что используются в таких проектах как mechaduino (или его китайская инкарнация как MSK Servo42) или же в системах стабилизации камер (внезапно там используются те же магнитные энкодеры). В итоге у меня оказалось два их от разных производителей:
- AS5048A с разрешением 14bit (если пересчитать в угол по нехитрой формуле 360/2**14 ~ 0.022 градуса)
- TLE5012b с разрешением 15bit (опять же если пересчитать в угол то 360/2**15 ~ 0.011 градуса)
В итоге я остановился на втором варианте, так как его разрешения хватает что бы легко ловить повороты даже для двигателя в 400 шагов на оборот при 32 микрошаге (а это получится примерно так 360/(400*32) ~ 0.028125 градуса), хотя это уже и экстремальный вариант.
На макетке была собрана конструкция из stm32f103c8t6 aka bluepill энкодера и драйвера шагового двигателя tmc2130 (взял то что было под руками). Всё это счастье было запрограммировано на довольно простые действия:
- stm32 имеет прерывания на трех пинах которые подключены к Step/Dir/Enable на плате управления принтером при получении сигналов на Step/Dir/Enable производится stm32 делает шаг через tmc2130 после завершения шага (если успевает) считывает положение двигателя через энкодер tle5012b (на валу двигателя помещён магнит)
- stm32 печатает в UART инфу о количестве шагов, микрошаге, количесве оборотов и текущем угле поворота двигателя (энкодер таки абсолютный и умеет считать обороты)
Дальше у меня возникла идея проверить насколько точно шаговик встаёт по шагам. Для этого в управляющей плате принтера (которая тоже stm32 но пожирнее) были выставлены виртуальные 80 steps/mm для оси X (в принципе это значение стандартное для 20 зубой шпули для GT2) а драйвер двигателя был выставлен в 16 микрошаг (двигатель у меня 1.8 градуса, 200 шагов на оборот, и как следствия с 16 микрошагом каждый шаг соответсвует 360/(200*16) = 0.1125 градуса, запомним эту цифру). Я решил посмотреть как у нас зависит точность выставления угла поворота от скорости принтера (а как следствие и точность).
Как происходило тестирование:
- Был выбран набор скоростей: 10, 25, 50, 75, 100, 125, 150, 200, 250 мм/с
- Для каждой скорости передвижение с X0 до X160 и обратно и ожидание в крайних положения по 2 секунды (это 4 оборота движка в одну строну и в другую) повторялось по 25 раз
- Данные с энкодера писались в лог (скриптик с сериал консоли всё писал в файлики)
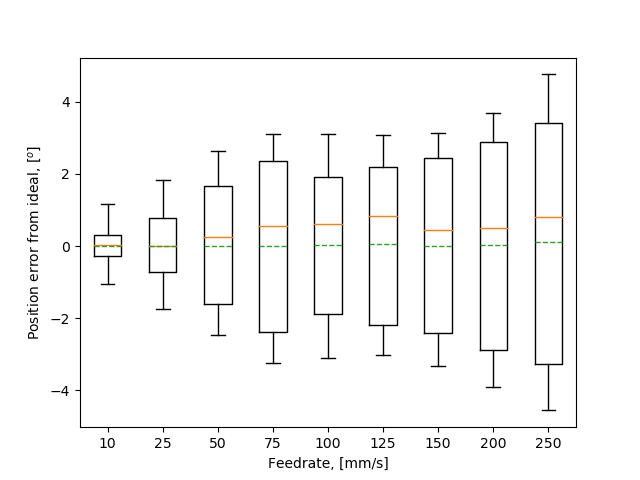
На картинке выше нарисована статистика собранная по каждой скорости в виде так называемого boxplot (прямоугольник это все значения которые были в измерениях и лежат в пределах одного стандартного отклонения, зеленая линия это среднее значение, оражевая линия это медиана). На картинке нарисовано отклонение от значения медианы для каждой измеренной точки для каждой скорости. Как её интерпретировать:
- На низких скоростях (до 50 мм/с), у нас повторяемость очень неплохая, на уровне погрешности измерения энкодера
- На скорости 75мм/с (а это у нас ~1.875 оборота в секунду) ошибка повторяемости позиционирования шаговика становится сравнимой с одним микрошагом
- На скоростях 100, 125, 150 и 200 мм/с у нас ошибка повторяемости позиционирования шаговика снова становится сравнимой с погрешностью датчика угла поворота (особенность драйвера tmc2130, для него это другой режим работы и он пытается делать точное позиционирование)
- А вот на скорости в 250мм/с система идёт в разнос и повторяемость падает до ~0.7 градусов (что примерно 7 шагов при дроблении 1/16, или если пересчитать в мм то это будет ~0.1 мм в среднем)
Но это если речь идёт о повторяемости а не о точности. А это разные понятия. Так что теперь поговрим про точность. Будем считать, как это далают прошивки большниства принтеров, что перемещение на один микрошаг у нас всегда одианково (в данном случае это 0.1125 градуса или 0.0125 мм если у нас 80 шагов на мм). Посмотрим насколько это так.
То что мы видим при скорости 10мм/с (да довольно медленно)
На картинках нарисовано чтение с датчика и счётчик шагов (данные датчика это синяя линия) а так же идеальные значения углов для данного номера шага (хе хе, довольно просто посчитать) а так же вертикальными черточками различия реально измеренного от идеального. Какие выводы можно сделать по этой картинке:
Шаги у нас не равномерны (что в целом понятно, исходя из физики двигателя)
Какие то шаги у нас почти точно попадают в идеальные значения углов поворота (но не все..., совсем не все...)
Хотя точность позиционирования у нас не очень высокая, но повторяемость хорошая (синяя линия на картинке это статистика по 25 повторам
Теперь посмотрим что будет если шаговик пойдёт немного быстрее 25 мм/с
Картинка в целом не поменялась, но ошибка позиционирования возросла (разница между реальным и идеальным положением)
Теперь 50 мм/с
Видно что позиционирование стало ещё хуже...
Теперь 75 мм/с
Всё поплыло ещё дальше...
100 мм/с
Ошибка осталась на прежнем уровне (tmc2130 перешел в другой режим работы)
125мм/с
150 мм/с
200 мм/с
и 250мм/с
Как видим, с увеличением скорости ошибка позиционирования растёт... Что можно нарисовать примерно так...
Картинка похожа на первую. Опять же зеленая линия это среднее. Оражневая медиана. Какие выводы можно сделать?
Что приятно средняя ошибка позиционирования примерно 0. Что означает что шаговик с одинаковой вероятность как проскакивает положение, так и недоходит до него (по этому среднее и есть 0).
А вот медиана уже становится большой. На уровне 0.5-0.8 градуса.
Разброс ошибок довольно большой, он растёт с примерно 0.2 градусов при 10мм/с до 4 градусов при 250мм/с, что соответсвует разбросу хода от 0.02 до 0.5 мм (хе хе.. кто там хвастался что печатает на скорости 200+мм/с....?)
Ещё замечу, что всё это измерялось на свободном шаговике без нагрузки. С нагрузкой будет все печальнее (и я это проверю в следующей части)
Что из всего этого следует?
Если хочется повышать качество печати, то надо слегка поменять подход к позиционирования шаговика в прошивках (позицоинирование у него не линейное, и это надо учитывать). По идее надо сделать умный closed-loop шаговик, которые будет в состоянии корректировать нелинейности при перемещении.
Здравая критика, и идеи приветствуются
